时间限制:1000 ms
内存限制:128 MiB
输入文件:trade.in
输出文件:trade.out
题目类型:传统
评测方式:文本比较
本题采用文件输入输出。
输入文件为 trade.in,
输出文件为trade.out。
C 国有 个大城市和 条道路,每条道路连接这 个城市中的某两个城市。任意两个城市之间最多只有一条道路直接相连。这 条道路中有一部分为单向通行的道路,一部分为双向通行的道路,双向通行的道路在统计条数时也计为 条。
C 国幅员辽阔,各地的资源分布情况各不相同,这就导致了同一种商品在不同城市的价格不一定相同。但是,同一种商品在同一个城市的买入价和卖出价始终是相同的。
商人阿龙来到 C 国旅游。当他得知同一种商品在不同城市的价格可能会不同这一信息之后,便决定在旅游的同时,利用商品在不同城市中的差价赚回一点旅费。设 C 国 个城市的标号从 ~ ,阿龙决定从 号城市出发,并最终在 号城市结束自己的旅行。在旅游的过程中,任何城市可以重复经过多次,但不要求经过所有 个城市。
阿龙通过这样的贸易方式赚取旅费:他会选择一个经过的城市买入他最喜欢的商品——水晶球,并在之后经过的另一个城市卖出这个水晶球,用赚取的差价当做旅费。由于阿龙主要是来 C 国旅游,他决定这个贸易只进行最多一次,当然,在赚不到差价的情况下他就无需进行贸易。
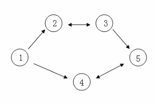
假设 C 国有 个大城市,城市的编号和道路连接情况如下图,单向箭头表示这条道路为单向通行,双向箭头表示这条道路为双向通行。

假设 ~ 号城市的水晶球价格分别为 。
阿龙可以选择如下一条线路:,并在 号城市以 的价格买入水晶球,在 号城市以 的价格卖出水晶球,赚取的旅费数为 。
阿龙也可以选择如下一条线路 ,并在第 次到达 号城市时以 的价格买入水晶球,在第 次到达 号城市时以 的价格卖出水晶球,赚取的旅费数为 。
现在给出 个城市的水晶球价格, 条道路的信息(每条道路所连接的两个城市的编号以及该条道路的通行情况)。请你告诉阿龙,他最多能赚取多少旅费。
从文件
trade.in 中读入数据。
输入文件名为 。
第一行包含 个正整数 和 ,中间用一个空格隔开,分别表示城市的数目和道路的数目。
第二行 个正整数,每两个整数之间用一个空格隔开,按标号顺序分别表示这 个城市的商品价格。
接下来 行,每行有 个正整数, ,每两个整数之间用一个空格隔开。如果 ,表示这条道路是城市 到城市 之间的单向道路;如果 ,表示这条道路为城市 和城市 之间的双向道路。
输出到文件
trade.out 中。
输出文件 共 行,包含 个整数,表示最多能赚取的旅费。如果没有进行贸易,则输出 。
trade.in
5 5
4 3 5 6 1
1 2 1
1 4 1
2 3 2
3 5 1
4 5 2
trade.out
输入数据保证 号城市可以到达 号城市。
对于 的数据,;
对于 的数据,;
对于 的数据,不存在一条旅游路线,可以从一个城市出发,再回到这个城市;
对于 的数据,,,,,各城市水晶球价格。